您当前的位置 :首页 > 产品中心 > 三叶型罗茨鼓风机

联系我们Contact Us

南通市巨龙流体机械有限公司

电 话:0513-81211212/0513-81211818

传 真 :0513-81211122

邮 箱:ntjllt@163.com

地 址:江苏省海门市余东镇新宇村建新工业园区(新宇村3组)

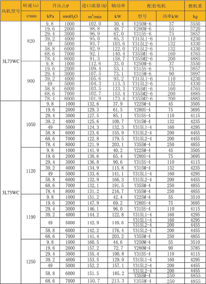
三叶型罗茨鼓风机3L73WC

  • 浏览次数:0
  • 发布日期:2021-05-20 17:02:07
  • 产品概述

三叶型罗茨鼓风机3L73WC性能参数表:

image

下一篇:没有了

公司地址 : 江苏省海门市余东镇新宇村建新工业园区(新宇村3组)

公司电话 : 0513-81211212,0513-81211818

公司传真 : 0513-81211122

公司邮箱 : ntjllt@163.com